HomeAppsEducation Learning
  • Cribs on the geometry RUS

    Cribs on the geometry RUS

    7.3 2.0 2026-04-05
    Education Learning
    Download

Enjoy millions of the latest Android apps, games, music, movies, TV, books, magazines & more. Anytime, anywhere, across your devices.

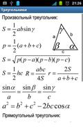
Cribs on the geometry, habitual to Russian eye on your phone! :D

Read more

Preview

Users Also Viewed

View All

You May Like

View All

More similar games

View All

More Level games

View All